1. Введение
Сопротивление материалов – это наука о прочности, жесткости и устойчивости инженерных конструкций и их элементов. Она отвечает на простые, но жизненно важные вопросы: Выдержит ли? (Прочность) – Не сломается ли балка под весом плит? Насколько прогнется? (Жесткость) – Не будет ли пол слишком сильно пружинить под ногами? Не опрокинется ли? (Устойчивость) – Не сложится ли многоэтажка как карточный домик от сильного ветра?
Основным объектом изучения в сопромате является стержень – тело, у которого один размер (длина) значительно преобладает над двумя другими. Балки, колонны, стойки, элементы ферм – все это стержни.
2. Основные виды нагрузок и напряжений, которые должен знать каждый строитель в реальной жизни
На любую конструкцию действует множество сил. Сопромат изучает как их классифицировать и рассчитывать их воздействие, растяжение и сжатие: пример: колонна (сжатие) и подвес на тросе (растяжение). Напряжения распределяются равномерно по сечению. Расчетная формула:
, (1)
Где: N – продольная сила, кН;
A – площадь сечения, м2.
Чтобы снизить напряжение, нужно либо уменьшить нагрузку, либо увеличить площадь (сделать колонну толще).
Сдвиг и срез возникает, когда две силы действуют на тело в противоположных направлениях, стремясь его «срезать». Классический пример – работа заклепок или болтов в соединениях, резка ножницами.
Кручение: знакомо любому, кто пытался скрутить влажный бельевой жгут. В строительстве яркий пример – валы, передающие вращающий момент, или скручивание балконной плиты под неравномерной нагрузкой.
Изгиб: это, пожалуй, самый сложный и самый распространенный вид деформации в строительстве. Любая балка перекрытия, любая плита, любая ступенька лестницы работает на изгиб. Под нагрузкой верхние волокна балки сжимаются, а нижние – растягиваются. Где-то посередине находится нейтральный слой, который не испытывает напряжений. Именно для изгиба выводятся формулы, связанные с моментами инерции сечения Jx и моментами сопротивления Wx. Эти геометрические характеристики показывают, насколько сечение «сопротивляется» изгибу. Квадратная балка, положенная на ребро, будет в разы прочнее на изгиб, чем та же балка, положенная плашмя, и все благодаря разному моменту сопротивления.
3. Практическое применение сопромата в строительных элементах:
- Балка перекрытия. Мы рассчитываем ее на прочность по максимальным напряжениям [σ_max = M_max / Wx ≤ [σ]] и на жесткость по максимальному прогибу [f_max ≤ [f]]. Если прочность не обеспечена – балка треснет. Если жесткость не обеспечена – потолок будет «играть» под ногами, что вызовет панику у жильцов и трещины в отделке. Допустимый прогиб для балки перекрытия жилого дома обычно не должен превышать 1/250 от длины пролета.
- Колонна. Ее расчет идет в первую очередь на сжатие. Но важный момент связан с продольным изгибом. Оказывается, длинная и тонкая колонна может разрушиться при нагрузке, значительно меньшей, чем та, которая нужна, чтобы ее просто раздавить. Это явление открыл Леонард Эйлер, и формула Эйлера для критической силы – одна из ключевых в расчете на устойчивость. Именно поэтому колонны на нижних этажах небоскребов такие массивные, а на верхних – более изящные.
- Ферма. Это стержневая система, идеально иллюстрирующая принцип «работа каждого элемента». В ферме, используемой в мостах или покрытиях зданий, одни стержни растянуты, другие – сжаты. Задача инженера – подобрать сечение для каждого стержня именно под тот вид нагрузки, который он испытывает, что делает конструкцию очень легкой и экономичной
4. Разбор примеров применения сопромата в строительстве
Задача № 1
Подобрать сечение балки перекрытия, чтобы пол не «пружинил». Суть проблемы: балка должна быть не только прочной (чтобы не сломаться), но и жесткой. Чрезмерный прогиб вызывает у людей панику, приводит к растрескиванию штукатурки и напольного покрытия. Расчет на прочность: Мы находим максимальный изгибающий момент в балке M_max. Затем используем условие прочности при изгибе:
, (2)
Где: Wx – момент сопротивления сечения, геометрическая характеристика, зависящая от формы и размеров балки, м3;
[σ] – допустимое напряжение для материала, Мпа.
Из этого неравенства мы находим требуемый Wx и по сортаменту подбираем конкретный профиль, например, двутавр № 20. Расчет на жесткость: Это вторая, не менее важная проверка. Мы вычисляем максимальный прогиб f_max по формуле для равномерно распределенной нагрузки:
, (3)
Далее проверяем условие:
, (4)
f_max ≤ [f] = L / 250.
Где: L – длина пролета, м;
E – модуль упругости материала, Па;
Jx – момент инерции сечения, м4.
Часто бывает так, что балка проходит по прочности, но не проходит по жесткости. Тогда нам приходится брать профиль большего сечения, чтобы увеличить Jx.
Задача № 2
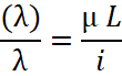
Рассчитать колонну, чтобы она не сложилась. Суть проблемы: колонна может разрушиться не потому, что ее раздавило, а потому, что она потеряла устойчивость – изогнулась и сложилась боком. Это явление называется продольный изгиб. Определяем гибкость колонны:
, (5)
Где: μ – коэффициент, зависящий от способа закрепления концов;
L – длина колонны, м;
i – радиус инерции сечения, м.
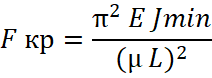
Выбираем метод расчета: в зависимости от гибкости, расчет ведется: по формуле Эйлера (для очень гибких стержней):
, (6)
Критическая сила F_кр – это та сила, при которой колонна теряет устойчивость. По эмпирическим формулам Ясинского (для стержней средней и малой гибкости), которые учитывают материал и гибкость. Проверяем условие устойчивости:
, (7)
Где: φ – коэффициент продольного изгиба, который берется из таблиц.
Этот коэффициент фактически снижает несущую способность колонны из-за риска потери устойчивости. Именно поэтому колонны на верхних этажах могут быть тоньше, чем на нижних.
Задача № 3
Запроектировать надежное соединение двух металлических элементов (болтовое или сварное). Суть проблемы: как обеспечить, чтобы соединение было прочнее, чем сами соединяемые элементы? Для болтового соединения: Болты, работающие на срез, проверяются по формуле:
, (8)
Где: Q – поперечная сила, стремящаяся срезать болт, кН;
n – количество болтов;
A_болта – площадь сечения одного болта, м2.
Болты, работающие на растяжение, проверяются:
, (9)
Для сварного соединения: расчет ведется по сечению шва. Проверяются как нормальные напряжения (от растяжения/сжатия), так и касательные (от среза). Сопромат дает формулы для расчета приведенных напряжений в сварном шве, чтобы убедиться в его надежности.
5. Что будет, если пренебречь сопроматом
Исторические примеры провалов. История строительства знает немало печальных примеров, когда пренебрежение законами сопромата приводило к катастрофам. Обрушение крыши аквапарка «Трансвааль-парк» в Москве 2004 г. Одна из версий катастрофы – ошибки в расчете несущих конструкций на устойчивость и прочность, приведшие к их внезапному хрупкому разрушению. Обрушение моста через реку Тэй в Шотландии 1879 г. В ту штормовую ночь погиб целый пассажирский поезд. Расследование показало, что конструкция не выдержала ветровой нагрузки, а расчеты на устойчивость были недостаточными. Падение Камминского моста в Южной Корее 1994 г. Пролетное строение рухнуло из-за коррозии и усталости металла в одном из ключевых элементов подвески – явления, которое тоже изучается в сопромате.
Заключение
Таким образом, сопромат – это не просто набор формул, а алгоритм принятия инженерных решений для каждой конкретной конструкции. Он отвечает на вопросы: «Какое сечение выбрать?», «Сколько арматуры положить?», «Какой профиль использовать?», «Выдержит ли соединение?». Благодаря сопромату происходит переход от интуитивного «сделать потолще» к точному и экономичному расчету, обеспечивающему надежность и безопасность. Пренебрежение им – это не просто ошибка, это преступная халатность, цена которой – человеческие жизни. Поэтому, каждый инженер обязан изучать сопротивление материалов, так как будущие здания будут держаться на их расчетах.
.png&w=384&q=75)
.png&w=640&q=75)